
靜電放電發生器(Electrostatic Discharge,ESD)主要應用于電子產品設備對人體靜電放電模型的抗干擾實驗。靜電放電發生器分為靜電發生器和靜電放電發生槍,靜電發生器中的輸出有的是正電荷或者是負電荷,也有正負電荷可以自由轉換,電壓雙極性高精度輸出連續可調,所以靜電放電發生器可用于絕大多數電氣與電子設備的靜電放電試驗。
測試標準;為了檢驗電子設備受到外來靜電放電時能否正常工作,是國際電工委員會標準IEC61000-4-2 Electromagnetic compatibility (EMC) - Part 4: Testing and measurement techniques - Section 2: Electrostatic discharge immunity test. Basic EMC Publication,已同名等效轉化為我國標準GB/T 17626.2-2006《電磁兼容試驗和測試技術靜電放電抗擾度試驗》的唯一試驗設備。
在IEC61000-4-2 電磁兼容性(EMC) — 4部分:測試和測量技術 — 第2部分:靜電放電抗擾度測試中等效于我國標準GB/T 17626.2-2006《電磁兼容試驗和測試技術靜電放電抗擾度試驗》中。
GB/T 17626的本部分范圍規定了電氣和電子設備遭受直接來自操作者及其操作者對鄰近物體的靜電放電時的抗擾度要求和試驗方法,還規定了不同環境和安裝條件下試驗等級的范圍和試驗程序。
電磁兼容試驗和測試技術靜電放電抗擾度試驗
GB/T 4365—2003界定的以及下列術語和定義----------
空氣放電方法 air discharge method ;
將試驗發生器的充電電極靠近受試設備直至接觸到受試設備的一種試驗方法。
抗靜電材料 antistatic material;
在同種材料或與其他類似材料相互摩擦或分離時,具有產生電荷量最小特性的材料。
接觸放電方法 contact discharge method ;
試驗發生器的電極保持與受試設備的接觸并由發生器內的放電開關激勵放電的一種試驗方法。
耦合板 coupling plane ;
一塊金屬片或金屬板,對其放電用來模擬對受試設備附近物體的靜電放電。
HCP為水平耦合板;VCP為垂直耦合板。
直接放電direct application
直接對受試設備實施放電。
電磁兼容性 electromagnetic compatibility EMC;
設備或系統在其電磁環境中能正常工作且不對該環境中任何事物構成不能承受的電磁騷擾的 能力。
靜電放電 electrostatic discharge; ESD;
具有不同靜電電位的物體相互靠近或直接接觸引起的電荷轉移。
儲能電容器 energy storage capacitor ;
靜電放電發生器中的電容器,用以代表人體充電至試驗電壓值時的電容量。
接地參考平面 ground reference plane;
GRP 一塊導電平面,其電位用作公共參考電位。
保持時間 holding time ;
放電之前,由千泄漏而使試驗電壓下降不大于10%的時間間隔。
(對騷擾的)抗擾度 immunity (to a disturbance) ;
裝置、設備或系統面臨電磁騷擾不降低運行性能的能力。
間接放電 indirect application ;
對受試設備附近的耦合板實施放電,以模擬人員對受試設備附近的物體的放電。
上升時間 rise time ;
脈沖瞬時值首次從脈沖幅值的 10%上升到90%所經歷的時間。
試驗等級
在實驗中接觸放電是優先選擇,只有在不能使用的情況下才選擇空氣放電。表1中給出了每種試驗方法的電壓。 由于試驗方法不同,每種方法的電壓也不同,但是并不是說這兩者的電壓大小相同,二者之間還是有很大的區別的。
表1 試驗等級
試驗發生器
試驗發生器的主要部分包括;
充電電阻Rc;
儲能電容器Cs;
分布電容Cd;
放電電阻Rd;
電壓指示器;
放電開關;
充電開關;
放電回路電纜;
電源裝置;
可更換的放電電極頭(見圖4);

圖1 靜電放電發生器的簡圖
電路原理首先是閉合充電開關直流高壓源給CS+Cd(圖中Cd在于發生器和周圍之間的分布電容)電容充電,當電容電量飽和后斷開充電開關(負載電阻Rc在充電過程中保護充電電路),然后閉合放電開關形成放電環路通過放電頭釋放輸出(負載Rd在輸出電電路中器保護作用)。
表2 通用規范
表3 接觸放電電流波形參數
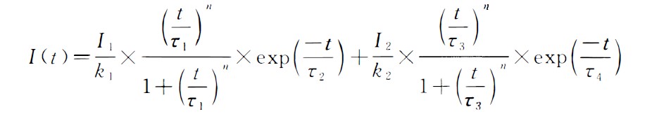
圖2 4 kV理想的接觸放電電流波形
圖2的理想波形方程I(t),如下所示:
式中;
靜電放電發生器的特性
試驗發生器應滿足表2和表3中的規范。 圖2給出了表2和表3中規定的理想電流波形和測散點。可以按照下面電流測量系統的校準和放電電流測量的方法驗證。
電流測量系統的校準和放電電流測量
電流靶安裝在垂直校準平面中心。靜電放電發生器的放電回路電纜(接地線)應連 接在平面中心底部低于靶0.5 m處。 接地線應在電纜中心向后拉,形成一個等腰三角形。 校準時,接地線不應平放在地板上。
安裝如下步驟驗證靜電放電發生器的電流波形是否符合規格。 記錄波的形狀和測鼠如下參數:
Ip峰值放電電流,單位為安培(A);
I30從到達峰值電流I,,的0.1倍電流值處開始,30 ns 后的電流值,單位為安培(A);
I60從到達峰值電流I!,的0.1倍電流值處開始,60 ns 后的電流值,單位為安培(A);
t r電流的上升時間,單位為納秒(ns) 。
表4接觸放電校準程序
圖3 靜電放電發生器性能校準的典型配置
注1:發生器宜安裝在三腳架或等效的非金屬低損耗的支撐物上。
注2:發生器宜以試驗時相同的方式供電。
注3:相比圖3的相反配置也可以使用。
如果能證明測鼠系統上的間接耦合路徑不會影響校準結果,那么沒有必要屏蔽示波器。
當如下情況時如果示波器結果沒有任何觸發,校準系統可認為有足夠的抗擾度(即沒有必要用法拉第籠):
示波器的觸發電平設置小千等千最低測試等級的10%,和靜電放電發生器對靶的外圈(不是內圈)進行最高等級的放電。
圖4 ESD發生器放電電極
對空氣放電試驗方法使用相同發生器,且放電開關一定要閉合。 發生器應備有圖4a)所示的圓形頭。 因為使用同樣的ESD發生器,所以沒有對空氣放電模式有更多的規范要求。
試驗發生器中放電回路的電纜長為(2士0.0S)m,其構成應使發生器滿足波形的要求。 放電回路電 纜的長度是從ESD發生器本體至連接點的末端。 它應有足夠的絕緣以防止在靜電放電試驗期間放電 電流不通過其端口而流向人員或導電表面。
測試中使用的放電回路電纜應和校準中使用的電纜是相同的或等同的。
若2m長的放電回路電纜不夠長(例如較高的受試設備),可以采用不超過3m長的電纜。試驗中使用的電纜應符合波形規范。
ESD布置的驗證
要驗證正確的ESD試驗布置,一種驗證方法是觀察在低電壓設置時,對耦合板空氣放電時產生的小火花和在高電壓設置下的大火花。 在此驗證之前,要驗證接地帶的連接和位置。
基本原理:因為來自ESD發生器的波形參數通常不會發生細微變化(例如:波形的上升時間和持續時間不會漂移),最可能的失效是ESD發生器電壓未送至放電電極,或者是電壓控制失效。 放電路徑中的電纜、電阻或者連接導線的損壞、松脫或缺失,都會導致無法放電。
試驗布置
圖4 實驗室試驗時臺式設備試驗布置實例 圖5 實驗室試驗時落地式設備試驗布置實例
最后就是如何對ESD設備進行試驗了,ESD產品通過了這些測試最后才能送到我們的服務商的手中,只有嚴格的測試和努力的研發才能保障好我們產品的質量,才能讓服務商買的放心,讓服務商有好的用戶體驗。
國產電磁兼容儀器設備-國際高端儀器設備代理商,可定制化,EMC行業研發制造,靜電放電,汽車電子,家電照明,醫療優選。
深圳市霍達爾儀器有限公司是高端設備國產廠家,致力于國際國內領先EMS儀器設備數年。